ÀÚµ¿
 
ȸ¿ø°¡ÀÔ ºñ¹øÃ£±â ÀÎÁõ¸ÞÀÏÀç¹ß¼Û
     
 
ÃâÀå¾È¸¶,ÃâÀ帶»çÁö,¹Ù³ª³ªÃâÀå¾È¸¶À̹ÌÁö
ÃÑ °Ô½Ã¹° 22,261°Ç, ÃÖ±Ù 0 °Ç
   
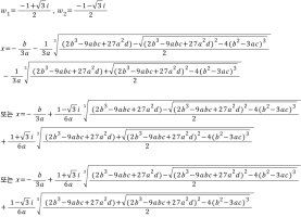
[Á¤Ä¡] ¼öÇÐ = °¡Ä¡°ü
±Û¾´ÀÌ :  Áö¿©                   ³¯Â¥ : 2016-11-11 (±Ý) 16:54 Á¶È¸ : 6596
Áö¿© ±âÀÚ (Áö±âÀÚ)
±âÀÚ»ýȰ : 5,383Àϰ
»Í¼öÄ¡ : 606,589»Í / ·¹º§ : 60·¾
Æ®À§ÅÍ : newhero111@daum.net
ÆäÀ̽ººÏ : herenow111@naver.com


°´°ü½Ä

 

1. ´Ù¼¸ »ç¶÷ Áß, °¡Àå »ç¾ÇÇÏ´Ù°í »ý°¢ÇÏ´Â »ç¶÷Àº?

   ¨ç ¹Ú±ÙÇý     ¨è ÃÖ¼ø½Ç     ¨é ÃÖÅ¹Π   ¨ê À̸í¹Ú  ¨ë ¹ÚÁ¤Èñ 

 

2. ´Ù¼¸ ºÐ Áß .. °¡Àå Á¸°æÇÏ´Â »ç¶÷Àº ?

   ¨ç ¼¼Á¾      ¨è À̼ø½Å   ¨é ÀÌ¹æ¿ø   ¨ê  À¯¼º·æ    ¨ë ¾ÈÁß±Ù

 

3. ´Ù¼¸ ¸í Áß, Àηù¿¡ °¡Àå °øÇåÇÑ »ç¶÷Àº?

    ¨ç ¿¡µð½¼   ¨è Æä·¯µ¥ÀÌ   ¨é ¾ÆÀν´Å¸ÀΠ  ¨ê ³ëº§  ¨ë ³ªÀÌÆÃ°ÔÀÏ

 

4. °¡Àå ÀÜÀÎÇÑ Çü¹úÀº ?

    ¨ç È¿¼ö(¸ñÀÚ¸§ = Ű·ÎÄ£)     ¨è ´ÉÁöóÂü (»çÁö¸¦ ÀÚ¸§)

    ¨é  µ¶¹æ¿¡ Á¾½ÅÇü  ¨ê º»ÀÎÀº ¼®¹æÇϰí, °¡Á·À» Á¾½ÅÇü ¨ë »ïÁ·À» »çÇü

 

ÁÖ°ü½Ä

 

º½ ¿©¸§ °¡À» °Ü¿ï.. 4°èÀý°ú žç~ Áö±¸ °ü°è´Â?

==========================================

 

½ºÅ¸°­»ç..... û¼Ò³âÀÌ ´ë±â¾÷ÀÓ¿øº¸´Ù  ¼±È£ÇÏ´Â Á÷Á¾ÀÌ´Ù.

 

»ç±³À°=Çпø°­»ç ... °¡Àå ¸¹Àº °ú¸ñÀÌ "¼öÇÐ" ÀÌ´Ù.

½Ç·ÂÀÌ ±Ý»õ ź·Î³­´Ù.

(¼öÇй®Á¦´Â Á¤´äÀÌ Àֱ⠶§¹®ÀÌ´Ù.

 ¾î·Á¿î ¼öÇй®Á¦¿¡ Á¤´äÀ» ´ë´ä¸øÇϸé âÇÇ´çÇÑ´Ù)

 

°æÁ¦ÇÐ, ¾ð¾î´É·Â, »çŽ...µî Àι®ÇÐÀº °­»çÀÇ ½Ç·Â ÆÇ°¡¸§ÀÌ ¾î·Æ´Ù.

.. ¾î·Á¿î ¹®Á¦¿¡ Á¤´äÀÌ µû·Î ¾ø±â ¶§¹®ÀÌ´Ù.

( ÁֽĽü¼,ºÎµ¿»ê ¿¹Ãø, ¾Æ¸§´Ù¿î ãÌ, Áßµ¿¹®Á¦ ÇØ¹ý.. Á¤´ä ?.. °¼¿ì¶×~~)

##############

 

´ÙÀ½   14 °³ ´Ü¾î(¹®Àå)ÀÇ G M C(ÃÖ´ë°ø¾à¼ö)´Â ?

¼öÇÐÀÎÁö?   Àι®ÇÐÀÎÁö?...

 

(³ª¿¡°Õ)...   ¼öÇÐÀÌ´Ù.   

³ª ¾Æ´Ñ ´Ù¸¥ »ç¶÷°úÀÇ ´ëÈ­´Â Àι®ÇÐÀϼö ÀÖÁö¸¸...

...............................   

 

ħ´ë 3°³,  

7½Ã°£, 

À̸í¹Ú¿¡°Ô º¸Å彺 ½Ã¼úÇÑ ÀÇ»ç,

±Â, 

¼ºÇü, 

ÃÖŹÎ,

ÃÖ¼ø½ÇÀÇ ¹«´ÜÃâÀÔ,

²ÀµÎ°¢½Ã,

±¸¸íÁ¶³¢

È­µé¦~ÀáÀû, 

À̸í¹ÚÀÇ »«ÁúÇѠǥÁ¤,

´ÙÀ½ Á¤±Ç ³»°¡ ¸¸µç´Ù´Â À̸í¹ÚÀÇ Å«¼Ò¸®.

䵿¿íÀÇ ±¹Á¤¿ø ¼ö»ç¿Í ÁßµµÇÏÂ÷.

¸°´Ù ±è,

 

 

  

 

 

 

  

 

 

 

 

 


º» ±â»ç´Â ÆßÁúÀ» ±ÝÇÑ´Ù (ÆßÁúÀº ¾Æ·¡ ÆÛ³ª¸£±â ¼Ò½º¸¸ Çã¿ëµÇ¸ç ¹Ú½º Ŭ¸¯Çϸé Àüü¼±ÅõȴÙ)

±Û¾´ÀÌ :  Áö¿©                   ³¯Â¥ : 2016-11-11 (±Ý) 16:54 Á¶È¸ : 6596

 
 
[1/5]   Áö¿© 2016-11-11 (±Ý) 17:07
³»ÀÏ ±¤Àå Âü¿©
 
 
[2/5]   ¼ú±â 2016-11-11 (±Ý) 17:15
1

µµ³¢·Î Á¤È®È÷ ³»·Á Âï¾î º¸¸é,

À̸í¹Ú = Á¤´äÀÌ´Ù.
 
 
[3/5]   ¾Æ´õ 2016-11-11 (±Ý) 19:22
1

µµ³¢·Î ¾ÈÂï¾îµµ °Á Åë¹äÀ¸·Î ºÁµµ

À̸í¹ÚÀÌ Á¤´äÀÌ´Ù.

³»ÀÏ ±¤Àå Âü¿©!!!!!!!!!!!!!!!!!!!!
 
 
[4/5]   ¹Ì³ª¸® 2016-11-11 (±Ý) 20:15
1. ¨ê
2. ¨ë
3. ¨ë
4. ¨é

ÁÖ°ü½ÄÀº,, ÆÐ½º,, -_-

´ç±Ù Âü¿©
 
 
[5/5]   ¸¸°¢ 2016-11-12 (Åä) 04:36
1.4¹ø
2.5¹ø
3.1¹ø
4.3¹ø

À̸í¹ÚÀº ³ª»Û ÁÙ ¾Ë¸é¼­µµ ½ÇÇàÇÏ´Â »ç±â²Û...±×³×´Â ¾Æ ¸ô·¯!!

¼­¿ï±¤Àå ¹«Á¶°Ç ÀÌ´Ù
   

ÃÑ °Ô½Ã¹° 22,261°Ç, ÃÖ±Ù 0 °Ç
¹øÈ£ »çÁø Á¦¸ñ ±Û¾´ÀÌ Á¡¼ö Á¶È¸ ³¯Â¥
Á¤Ä¡ °Ô½ÃÆÇ ¾È³»  ¹Ì·¡ÁöÇâ 3 159183 2013
09-17
»çÀÌÆ® ¾È³» [34]  ¹Ì·¡ÁöÇâ 35 433277 2012
10-11
20911 ³ú´Â »ç¶÷ÀÌ Á¤Ä¡½Å³äÀ» ¹Ù²Ü¶§........ [7]  ¹¶Å© 7 3972 2017
01-04
20910  Æ®Ä£ - »ý»ý´º½º ¸ðÀ½ [6]  Áö¿© 6 4441 2017
01-02
20909  SEWOL X [15]  ÁÜÀιÎÁÖ 8 5556 2016
12-29
20908 ¹Î»ý - ÀÇ·á (1) [5]  Áö¿© 8 6290 2016
12-28
20907  À̺êÀÇ ±¤È­¹® [8]  ¼ø¼ö 8 3735 2016
12-25
20906  ¼­¹®½ÃÀå ºÒ [3]  ¾Æ´õ 10 4647 2016
12-22
20905 °³Çå? [2]  ¾Æ´õ 8 3955 2016
12-22
20904  Ãкҵ¿ÁöÀÇ ´«½ç [3]  ¼ú±â 7 5429 2016
12-21
20903  °³ ½Ã¸®Áî (±×·¡µµ ¿ô¾îº¸ÀÚ) [6]  Áö¿© 9 4582 2016
12-20
20902  ¹Ú±ÙÇý¿Í ¿©Çø, À§¾ÈºÎ¿Í ¹Ì±¹ÀϺ» [6]  Áö¿© 7 5384 2016
12-16
20901 ±âÃáºñ¹® [4]  ¼ú±â 7 5031 2016
12-15
20900 Áö±ÝÀÌ °³Çå ¾ê±âÇÒ ¶©°¡ [3]  ¾Æ´õ 6 4139 2016
12-15
20899 źÇÙ ¹Ý´ë¸í´Ü À¯ÃâÀΰ¡ [1]  ¿µ¼¼ÀÚ¿µ¾÷ÀÚ 6 4196 2016
12-13
20898 ¹ÝÄ¢°ú Ư±Ç - "½Ã½ºÅÛ" [4]  Áö¿© 5 5198 2016
12-11
20897 źÇÙ [7]  ¾Æ´õ 10 3938 2016
12-09
20896 źÇÙ°ü·Ã... [8]  Áö¿© 9 3985 2016
12-09
20895  ÃÐºÒ¾Æ ¹Ý°©´Ù [5]  ¼ú±â 7 7625 2016
12-05
20894  ÅºÇÙ ¾Ð¹Ú : ¹Ú±ÙÇÙ´åÄÄ °¡±â [6]  ²Ü¸Ô´ÂºÎ¾ûÀÌ 7 4017 2016
12-05
20893 °æÂû [2]  ¾Æ´õ 6 3609 2016
12-04
20892 ¹®Á¦´Â °ËÂûÀÌ´Ù  ¾Æ´õ 8 2742 2016
12-04
20891 ±æ°Ô º¸¸é ÀÚÃæ¼ö·Î ¸ÁÇÑ´Ù [4]  Áö¿© 7 4424 2016
12-03
20890 À§±â´Â °ð ±âȸ´Ù [10]  ¾Æ´õ 8 5152 2016
12-02
20889 ¹ÚÁö¿ø ²Ä¼ö ÃßÃø [6]  Áö¿© 10 5086 2016
11-30
20888 ¹ÚÁö¿ø Àå³­Áú [11]  ¾Æ´õ 8 3795 2016
11-30
20887 ±¹Á¤±³°ú¼­ [1]  ¾Æ´õ 7 3905 2016
11-29
20886 3Â÷ ´ãÈ­¹® ¹ßÇ¥ ÀÌÈÄ [1]  ¾Æ´õ 7 3650 2016
11-29
20885 ±ÙÇý ´ãÈ­ ¿äÁö [7]  Áö¿© 10 4145 2016
11-29
20884 ÄÚ·º½ÃÆ® Ãʾȼ­ [4]  ¼ú±â 7 3702 2016
11-28
20883 ±ÙÇýº´±Õ°ú ¸í¹Ú¾Ï¼¼Æ÷ [4]  Áö¿© 6 4745 2016
11-28
20882 Á¤ÀÇ´ç¿¡¼­ ¹ßÇ¥ÇÑ ÅºÇÙ¾È(ÃʾÈ) [4]  ¼ø¼ö 6 3625 2016
11-28
20881 ¶³°ÅÁöµé [2]  ¾Æ´õ 4 3552 2016
11-27
20880  ÃÐºÒ 190¸¸ [11]  ¼ø¼ö 7 3714 2016
11-26
20879 ±è±âÃá¿¡ ´ëÇÑ Ãß¾ï(Çϳª) [3]  Áö¿© 10 3916 2016
11-24
20878  ¼¼¿ùÈ£ Ã߸ð¹®ÀÚ #1111 [7]  ²Ü¸Ô´ÂºÎ¾ûÀÌ 9 8159 2016
11-24
20877  Ç®, ¹Ù¶÷¿¡ ´©¿ö ÀϾ´Ù [3]  ¼ú±â 6 4722 2016
11-24
20876 ±æ¶óÀÓ ¿À³ª¶ó [1]  ¼ú±â 5 5559 2016
11-18
20875 ¿ì»óÈ£ ±âȸ´Â °ð À§±â´Ù [2]  ¾Æ´õ 7 3933 2016
11-18
20874 50´ë ±âµæ±Ç(9) - Á¾¾ð [4]  Áö¿© 6 4346 2016
11-16
20873  ¿ì¸®°¡ ¸íÇÑ´Ù. ÇϾßÇ϶ó!!!! [8]  ´Ù½Ã¶ó±â 6 5226 2016
11-13
20872  11 12 - high light 12 scene [7]  Áö¿© 8 4171 2016
11-13
20871 ¼öÇÐ = °¡Ä¡°ü [5]  Áö¿© 6 6597 2016
11-11
20870 12ÀÏ ½ÃÀ§°ü·Ã [4]  ¾Æ´õ 7 3813 2016
11-11
20869 ´º½ºÅ¸ÆÄ : ¼¼¿ùÈ£ 7½Ã°£ÀÇ ¹Ì½ºÅ׸® [5]  ²Ü¸Ô´ÂºÎ¾ûÀÌ 10 4065 2016
11-10
20868  µµ³¯µå Æ®·³ÇÁ - ²Þº¸´Ù ÇØ¸ù [8]  Áö¿© 10 4097 2016
11-09
20867  ¹Ì±¹´ë¼±-ȯ»óÀÇ ³¡¹° [13]  ¼ú±â 7 5466 2016
11-09
20866 ±èÄ©±¹ ¸¶½Ã´Â Á¶Á¶±ºµé¿¡°Ô... [7]  ºÒ¾È¿ªÇÐ 7 3708 2016
11-08
20865 ÇѸ¶µï ¾ÈÇÒ¼ö°¡ ¾ø³× [3]  ÆÈÇÒÀ̹ٶ÷ 7 4366 2016
11-08
20864 ¹Ì±¹´ë¼±-Áß°£Æò°¡ [4]  ¼ú±â 6 5460 2016
11-07
20863 ÇѰÉÀ½ ´õ °¡¼­, µÎ¹ø º¸¾Æ¾ß ºñ·Î¼Ò º¸Àδ٠[9]  Áö¿© 7 3981 2016
11-07
20862 ¹ÎÁÖÁÖÀÇ¿¡ °üÇÑ µ¿¿µ»ó µÎ°³ [3]  ²Ü¸Ô´ÂºÎ¾ûÀÌ 6 4535 2016
11-07
óÀ½  ÀÌÀü  21  22  23  24  25  26  27  28  29  30  ´ÙÀ½  ¸Ç³¡
 ¾ß ±âºÐÁÁ´Ù
 (Æß) ¾îÁ¦ Ç¥°áÀÌ ½ÅÀÇÇѼö¿´¡¦
 È¸ºñ ³³ºÎ °èÁÂ
 ‚‹ÀÇ ¹Ì¼Ç
 °¡½Å(Ê«ãí) °ú ³ë¹«Çö
 ³¯»ÍÀÇ Ãß¾ï
 ´ç½ÅÀº ¿¤¸®Æ®ÁÖÀÇÀÚÀΰ¡¿ä? -¡¦
 ¿î¿µÀÚ´Ô²² °íÇÕ´Ï´Ù
 Áö³­ÇØ, Ä£±¸ 2¸íÀÇ ÀÚ»ì°ú º´¡¦
 ½Ã½ºÅÛ
 ±Ø¹® X82 ÀÇ Æ¯Â¡
 ³ë¹«ÇöÀ» ÁÁ¾ÆÇÏ´Â ...
 ÁöµµÀÚÀÇ °á´Ü
 Áö³­ 20³âÀÇ ±³ÈÆ - ½ÇÆÐ¸¦ Áñ¡¦
 ±Û¾²±â
 ¾Ç¼º ´ñ±Û·¯µé°ú Á¶Áßµ¿ ÈÖÇÏ ¡¦
 ¾Æ´õÆíÁýÀå´Ô ±×µ¿¾È ¼ö°íÇϼ̡¦
 ¾Æ´õ ÆíÁýÀåÀÇ ¸¶Áö¸· Àλç
 »çÀÌÆ®¸¦ ¸ÁÄ¡·Á´Â ¾Ç¼º ´ñ±Û¡¦
 ¹Ì·¡ÁöÇâ´Ô, ȸ¿ø ±ÛµéÀÌ ÈѼա¦
<»çÁø¿µ»ó>
<µð¾î´º½º ¸¸Æò>
³í¼³ ¡å
¾ð·Ð ¡å
Á¤Ä¡ ¡å
Á¤Ä¡ÀÎ ¡å
ÅëÀϱ¹Á¦±º»ç ¡å
°æÁ¦È¯°æ ¡å
±³À°Á¾±³ ¡å
ÀǷẹÁö ¡å
Àαǿ©¼º³ëµ¿ ¡å
 
 
 
¨Ï 2013 µð¾î´º½º dearnewsnet@gmail.com ¤Ó °³ÀÎÁ¤º¸Ãë±Þ¹æÄ§ ¤Ó ȸ¿ø¾à°ü